What is Compound Interest?: Compound interest is the interest calculated on both the initial principal and the accumulated interest from previous periods. Unlike simple interest, where interest is calculated only on the principal amount, compound interest grows exponentially over time, which can lead to significantly larger returns.
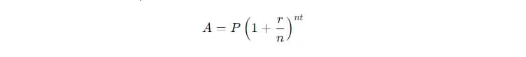
The formula to calculate compound interest is:

Where:
- A = the future value of the investment/loan, including interest
- P = the principal investment amount
- r = the annual interest rate (decimal)
- n = the number of times that interest is compounded per year
- t = the number of years the money is invested or borrowed for
Now, let’s dive into a more detailed explanation of compound interest, examples, and how to use it to maximize your savings or investments.
CHECK THIS FREE BUDGET CALCULATOR

Introduction to Compound Interest
When you invest or borrow money, the interest on the amount is usually calculated based on some predefined terms. Compound interest is a powerful financial concept that allows your savings to grow faster than simple interest because it accounts for both the initial principal and any accumulated interest over time.
The main difference between simple and compound interest lies in the way they accumulate. With simple interest, you only earn interest on your initial investment. However, with compound interest, the interest earned over time is added to your principal, and future interest is calculated on this new total. This means that compound interest can lead to exponential growth, especially over long periods.
The Formula for Compound Interest
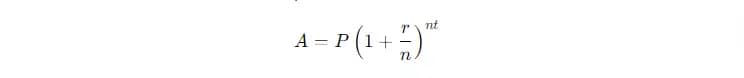
As mentioned earlier, the formula for compound interest is:

Where:
- A: This is the future value of the investment/loan, including interest.
- P: This is the principal amount, or the initial sum of money invested or borrowed.
- r: This is the annual interest rate, expressed as a decimal. For example, 5% would be written as 0.05.
- n: This is the number of times the interest is compounded per year. For example, if interest is compounded monthly, n=12; for quarterly compounding, n=4; and for annual compounding, n=1.
- t: This is the time the money is invested or borrowed for, in years.
Example of Compound Interest Calculation
Let’s take a simple example to understand how compound interest works:
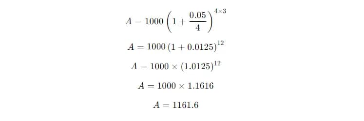
Example: You invest $1,000 at an annual interest rate of 5%, compounded quarterly, for 3 years. The formula will look like this:

So after 3 years, your investment will grow to $1,161.60, which includes $161.60 in compound interest.
Why Compound Interest is Powerful
The magic of compound interest lies in its ability to generate exponential growth. The longer you leave your money invested, the more it grows because interest is being calculated on the accumulated interest as well as the original principal.
Here’s why compound interest is so powerful:
- Time is your friend: The more time you allow your money to compound, the greater the returns.
- Frequency matters: The more frequently interest is compounded, the more your money will grow. For example, daily compounding is more powerful than yearly compounding, assuming the same interest rate.
- Early investments yield better results: Starting early with smaller amounts often leads to larger gains due to the impact of compounding over time.
FREE VIRAL SAVINGS CHALLENGE CALCULATOR
How to Use Compound Interest to Your Advantage
You can use the power of compound interest to boost your savings or investments. Here’s how:
1. Start Early
The earlier you start investing or saving, the more you benefit from compound interest. Small, consistent contributions over many years can accumulate into a significant amount, thanks to the compounding effect.
2. Invest Regularly
The more you invest, the more interest you will earn. Regular contributions, such as monthly or quarterly deposits into your savings or investment account, will amplify the effects of compound interest.
3. Choose the Right Investment
To maximize compound interest, choose investments with higher interest rates. Look for savings accounts or investment vehicles (like stocks, bonds, or mutual funds) that offer favorable compounding terms.
4. Reinvest Earnings
Reinvesting your interest earnings or dividends into the investment itself can accelerate the compound growth. This is one of the reasons why many successful investors prefer to reinvest their earnings.
Types of Compound Interest
Compound interest can be applied in different ways depending on the frequency of compounding:
- Annual Compounding: Interest is added once a year.
- Semi-Annual Compounding: Interest is added twice a year.
- Quarterly Compounding: Interest is added four times a year.
- Monthly Compounding: Interest is added twelve times a year.
- Daily Compounding: Interest is added every day.
The more frequent the compounding, the more your money will grow. For example, if you had the same interest rate with monthly compounding versus annual compounding, you would earn more with monthly compounding.

Compound Interest in Real Life
In real life, compound interest is used in various financial scenarios, including:
- Savings Accounts: Many banks offer savings accounts with compound interest. The more frequently the bank compounds interest, the more money you earn.
- Loans and Mortgages: If you have a loan, such as a mortgage or a credit card, the interest is usually compounded. The longer you take to repay, the more interest you’ll owe.
- Investments: Stock investments, bonds, and mutual funds can all benefit from compound interest, especially when dividends or interest are reinvested.
Conclusion
Compound interest is a powerful tool for building wealth over time. By understanding how it works and utilizing it in your savings or investment strategies, you can grow your wealth exponentially. Whether you’re saving for retirement, building an emergency fund, or simply putting money away for future goals, the key is to start early, contribute regularly, and allow your money to work for you.
With the right approach, compound interest can help you achieve your financial goals faster and with greater returns. So, start leveraging the power of compound interest today, and watch your wealth grow!


One reply on “What is Compound Interest? Formula, Examples, and How to Use It”