Maximize Savings with Compound Interest: Maximizing your savings with compound interest is about putting the “interest on interest” effect to work for you. Since compound interest means your earnings are continuously added to your principal, the base amount on which you earn future interest grows larger over time, leading to exponential wealth accumulation. To fully harness this power, you must start as early as possible to give your money the maximum time to grow, as time is the most crucial variable.
To further maximize this benefit, focus on consistent and regular contributions, even small ones, to continually feed the compounding base. Seek out savings and investment vehicles with higher interest rates (APY) and a more frequent compounding schedule (e.g., daily or monthly) to accelerate the effect. Finally, ensure you reinvest all interest and dividends rather than withdrawing them. By combining an early start, consistent saving, and selecting high-compounding accounts, you create a powerful financial snowball that drastically boosts your total savings over the long term.
Maximizing savings with compound interest involves taking advantage of the way interest grows over time. To do this, you’ll need to understand how compound interest works, choose the right investment options, and employ strategies that allow your savings to compound faster.
The key steps to maximize your savings include starting early, making regular contributions, and selecting investment vehicles with high-interest rates and frequent compounding periods.

The good news is that compound interest allows you to earn interest not only on your original principal but also on the interest that accumulates over time.
CHECK OUR FREE VIRAL SAVINGS CHALLENGE CALCULATOR
This “interest on interest” effect becomes increasingly powerful as time goes on. By following this step-by-step guide, you can learn how to effectively maximize your savings and let compound interest work for you.
What is Compound Interest?
Before diving into how to maximize your savings, it’s important to understand compound interest. Compound interest is the process by which interest is added to your initial investment, and then future interest is calculated on the new total (the principal + the interest). This results in exponential growth over time, which is why compound interest is often referred to as “the most powerful force in finance.”
To get the most out of compound interest, you need to consider the following factors:
- Interest Rate: A higher interest rate results in more growth.
- Compounding Frequency: The more frequently interest is compounded, the more your investment grows.
- Time: The longer your money stays invested, the more you benefit from compounding.
- Regular Contributions: Consistently adding to your investment will amplify the effects of compound interest.
Step 1: Understand How Compound Interest Works
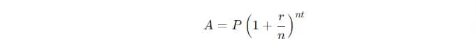
The compound interest formula is:

Where:
- A = the future value of your investment, including interest
- P = the principal (initial investment)
- r = the annual interest rate (expressed as a decimal)
- n = the number of times the interest is compounded per year
- t = the number of years the money is invested or borrowed for
For example, if you invest $1,000 at an interest rate of 5% per year, compounded annually, the future value of your investment after 3 years would be:

So, after 3 years, your $1,000 investment will grow to $1,157.63 due to the compound interest.
Step 2: Start Early
The earlier you start saving or investing, the more time compound interest has to work. One of the most powerful benefits of compound interest is its ability to grow exponentially over time. The longer you leave your money invested, the more interest you will earn on both your initial deposit and on the interest that has already been added.
Example: Let’s assume two individuals, Sarah and John, both want to save $100,000 for retirement. Sarah starts saving at 25, and John starts at 35. Both invest $5,000 a year at a 7% annual interest rate.
- Sarah, who starts 10 years earlier, will have a significantly higher balance by the time they both retire. Starting earlier allows Sarah to benefit from 10 extra years of compound growth, leading to far greater wealth accumulation.
CHECK THIS DEBT PAYOFF CALCULATOR
Step 3: Contribute Regularly
Regular contributions to your investment can significantly increase the power of compound interest. This works because each time you add to your account, you’re giving compound interest more money to work with.
Example: Let’s say you save $200 every month into an investment account that compounds monthly at an interest rate of 6%. Over time, even small contributions can add up to a large amount due to compound interest.
If you invest $200 monthly for 10 years at 6% interest compounded monthly, you will have:

Where:
- P is the monthly contribution: $200
- r is the annual interest rate: 0.06
- n is the number of times interest is compounded per year: 12
- t is the time in years: 10
Substituting these values into the formula, the total amount accumulated will be $35,746.98.
Thus, contributing regularly, even small amounts, can greatly increase the total savings over time.
Step 4: Choose Investments with High-Interest Rates
Not all investments offer the same rate of return. To maximize the impact of compound interest, you should choose investment vehicles with higher interest rates. This can include stocks, bonds, or mutual funds that provide higher returns than traditional savings accounts.
Here are some options to consider:
- Stocks: Historically, stocks have offered higher returns than savings accounts, with an average annual return of around 7% to 10% over long periods.
- Bonds: Bonds offer steady returns, but they generally provide lower returns than stocks.
- High-Yield Savings Accounts: These accounts provide higher interest rates than traditional savings accounts, making them a good option for saving money in the short term.
- Real Estate: Investing in rental properties or real estate can offer returns through property appreciation and rental income.
Choosing higher-yielding investments, even if they come with more risk, is an effective strategy to maximize the compounding effect.
Step 5: Understand the Impact of Compounding Frequency
The frequency of compounding has a big impact on how much interest you earn. The more frequently interest is compounded, the more you’ll benefit from compound interest.
- Daily Compounding: Interest is calculated and added every day.
- Monthly Compounding: Interest is calculated and added once a month.
- Quarterly Compounding: Interest is calculated and added every three months.
- Annually Compounding: Interest is calculated and added once a year.
For example, if you had the same interest rate with monthly compounding versus annual compounding, you would earn more with monthly compounding because the interest is added to your account more frequently.
Step 6: Be Patient
Finally, one of the most important elements of maximizing savings with compound interest is patience. Compound interest takes time to show substantial results. The longer you leave your money invested, the more powerful the compounding effect becomes.
Conclusion: Maximize Savings with Compound Interest
By following these steps—starting early, making regular contributions, choosing high-yield investments, and understanding the impact of compounding frequency—you can maximize your savings using compound interest.
The power of compound interest is significant, but it requires discipline and patience to truly benefit from it.
Whether you’re saving for retirement, a big purchase, or simply growing your wealth over time, compound interest can be one of the most effective financial tools at your disposal. Start today, and watch your money work for you.
Leave a Reply